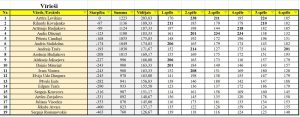
Individuālais reitings vīriešiem Nov 11, 2025 Submit a CommentJūsu e-pasta adrese netiks publicēta. Obligātie lauki ir atzīmēti kā *Komentārs * Vārds * E-pasts * Tīmekļa vietne